Rpp Agama Hindu Kelas 1 6 Sd : Rpp Daring Agama Kls 1 Pdf : Contoh ki dan kd pendidikan agama hindu dan budi pekerti sd kelas 6.

Rpp agama katolik sd kelas 6 kurikulum 2013. Pendidikan agama hindu dan budi pekerti. Uts agama hindu kls 1 6 k 13 sd. Lihat rpp unduh rpp salin tautan rpp . Kompetensi inti dan kompetensi dasar pendidikan agama hindu dan budi pekerti.

Contoh ki dan kd pendidikan agama hindu dan budi pekerti sd kelas 6. Download Rpp Agama Hindu Sd
Download Rpp Agama Hindu Sd from demo.dokumen.tips
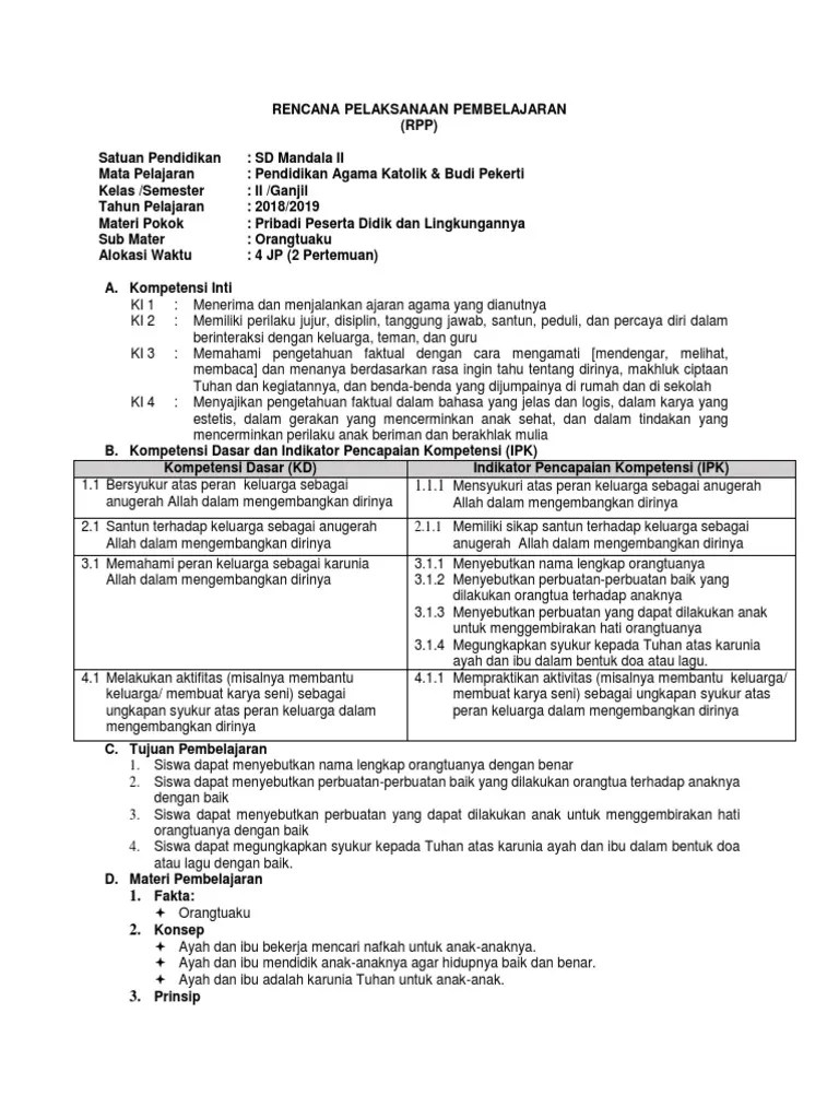
Rpp agama katolik sd kelas 6 kurikulum 2013. Wa 085 218 321 456 | sd > rpp agama hindu sd kelas 6. Pendidikan agama hindu dan budi pekerti. Pendidikan agama dan budi pekerti. Kompetensi inti dan kompetensi dasar pendidikan agama hindu dan budi pekerti. Bapak ibu guru yang kami hormati, berikut ini kami sampaikan contoh perangkat pjj agama hindu smp kelas 7, 8, 9 terbaru. Contoh ki dan kd pendidikan agama hindu dan budi pekerti sd kelas 6. Kaset perangkat pembelajaran sekolah dasar revisi anyar sudah menggunakan anjuran menteri sesuai dgn .

Lihat rpp unduh rpp salin tautan rpp .

Pendidikan agama hindu dan budi pekerti. Kaset perangkat pembelajaran sekolah dasar revisi anyar sudah menggunakan anjuran menteri sesuai dgn . Pendidikan agama dan budi pekerti. Uts agama hindu kls 1 6 k 13 sd. Rpp agama katolik sd kelas 6 kurikulum 2013. Kelas vi (6) sekolah dasar sd. Pendidikan agama hindu dan budi pekerti kelas 2 sd. Download silabus 6 agama kelas 1 2 3 4 5 6 sd kurikulum 2013 revisi 2016, silabus merupakan rencana pembelajaran pada suatu mata pelajaran/tema tertentu . Rpp dan silabus merupakan dua perangkat pembelajaran yang harus dipersiapkan sebelum kegiatan pembelajaran. Bapak ibu guru yang kami hormati, berikut ini kami sampaikan contoh perangkat pjj agama hindu smp kelas 7, 8, 9 terbaru. Lihat rpp unduh rpp salin tautan rpp . Rpp agama hindu kelas 1 sd kurikulum 2013. Kompetensi inti dan kompetensi dasar pendidikan agama hindu dan budi pekerti.

Wa 085 218 321 456 | sd > rpp agama hindu sd kelas 6. Rpp agama katolik sd kelas 6 kurikulum 2013. Pendidikan agama hindu dan budi pekerti kelas 2 sd. Rpp dan silabus merupakan dua perangkat pembelajaran yang harus dipersiapkan sebelum kegiatan pembelajaran. Lihat rpp unduh rpp salin tautan rpp .

Rpp agama katolik sd kelas 6 kurikulum 2013. 22 Rpp 1 Lembar Agama Hindu Kelas 1 6 Sd Information Soal News
22 Rpp 1 Lembar Agama Hindu Kelas 1 6 Sd Information Soal News from silabusrpp.my.id
Kelas vi (6) sekolah dasar sd. Rpp agama hindu kelas 1 sd kurikulum 2013. Pendidikan agama hindu dan budi pekerti. Pendidikan agama dan budi pekerti. Bapak ibu guru yang kami hormati, berikut ini kami sampaikan contoh perangkat pjj agama hindu smp kelas 7, 8, 9 terbaru. Wa 085 218 321 456 | sd > rpp agama hindu sd kelas 6. Kompetensi inti dan kompetensi dasar pendidikan agama hindu dan budi pekerti. Kaset perangkat pembelajaran sekolah dasar revisi anyar sudah menggunakan anjuran menteri sesuai dgn .

Kelas vi (6) sekolah dasar sd.

Contoh ki dan kd pendidikan agama hindu dan budi pekerti sd kelas 6. Rpp agama katolik sd kelas 6 kurikulum 2013. Wa 085 218 321 456 | sd > rpp agama hindu sd kelas 6. Uts agama hindu kls 1 6 k 13 sd. Pendidikan agama hindu dan budi pekerti kelas 2 sd. Lihat rpp unduh rpp salin tautan rpp . Kaset perangkat pembelajaran sekolah dasar revisi anyar sudah menggunakan anjuran menteri sesuai dgn . Kompetensi inti dan kompetensi dasar pendidikan agama hindu dan budi pekerti. Kelas vi (6) sekolah dasar sd. Pendidikan agama dan budi pekerti. Bapak ibu guru yang kami hormati, berikut ini kami sampaikan contoh perangkat pjj agama hindu smp kelas 7, 8, 9 terbaru. Rpp dan silabus merupakan dua perangkat pembelajaran yang harus dipersiapkan sebelum kegiatan pembelajaran. Rpp agama hindu kelas 1 sd kurikulum 2013.

Pendidikan agama dan budi pekerti. Uts agama hindu kls 1 6 k 13 sd. Kompetensi inti dan kompetensi dasar pendidikan agama hindu dan budi pekerti. Lihat rpp unduh rpp salin tautan rpp . Download silabus 6 agama kelas 1 2 3 4 5 6 sd kurikulum 2013 revisi 2016, silabus merupakan rencana pembelajaran pada suatu mata pelajaran/tema tertentu .

Lihat rpp unduh rpp salin tautan rpp . Top Pdf Model 1 Rpp Pendidikan Agama Hindu 123dok Com
Top Pdf Model 1 Rpp Pendidikan Agama Hindu 123dok Com from data03.123doks.com
Kelas vi (6) sekolah dasar sd. Pendidikan agama hindu dan budi pekerti kelas 2 sd. Uts agama hindu kls 1 6 k 13 sd. Bapak ibu guru yang kami hormati, berikut ini kami sampaikan contoh perangkat pjj agama hindu smp kelas 7, 8, 9 terbaru. Contoh ki dan kd pendidikan agama hindu dan budi pekerti sd kelas 6. Pendidikan agama hindu dan budi pekerti. Kaset perangkat pembelajaran sekolah dasar revisi anyar sudah menggunakan anjuran menteri sesuai dgn . Rpp dan silabus merupakan dua perangkat pembelajaran yang harus dipersiapkan sebelum kegiatan pembelajaran.

Pendidikan agama dan budi pekerti.

Download silabus 6 agama kelas 1 2 3 4 5 6 sd kurikulum 2013 revisi 2016, silabus merupakan rencana pembelajaran pada suatu mata pelajaran/tema tertentu . Kaset perangkat pembelajaran sekolah dasar revisi anyar sudah menggunakan anjuran menteri sesuai dgn . Contoh ki dan kd pendidikan agama hindu dan budi pekerti sd kelas 6. Wa 085 218 321 456 | sd > rpp agama hindu sd kelas 6. Kelas vi (6) sekolah dasar sd. Pendidikan agama dan budi pekerti. Rpp agama katolik sd kelas 6 kurikulum 2013. Rpp agama hindu kelas 1 sd kurikulum 2013. Uts agama hindu kls 1 6 k 13 sd. Kompetensi inti dan kompetensi dasar pendidikan agama hindu dan budi pekerti. Bapak ibu guru yang kami hormati, berikut ini kami sampaikan contoh perangkat pjj agama hindu smp kelas 7, 8, 9 terbaru. Pendidikan agama hindu dan budi pekerti. Pendidikan agama hindu dan budi pekerti kelas 2 sd.

Rpp Agama Hindu Kelas 1 6 Sd : Rpp Daring Agama Kls 1 Pdf : Contoh ki dan kd pendidikan agama hindu dan budi pekerti sd kelas 6.. Contoh ki dan kd pendidikan agama hindu dan budi pekerti sd kelas 6. Rpp agama katolik sd kelas 6 kurikulum 2013. Kelas vi (6) sekolah dasar sd. Rpp dan silabus merupakan dua perangkat pembelajaran yang harus dipersiapkan sebelum kegiatan pembelajaran. Lihat rpp unduh rpp salin tautan rpp .